Skip to contents

Computes diversity profiles across a continuous range of sensitivity parameter (The order q) using parametric diversity indices such as Hill numbers, Rényi entropy, and Tsallis entropy. The function also supports the generation of multiple profiles to enable comparisons among groups. It provides flexible options for generation of bootstrap confidence intervals for the values.

Usage

diversity.profile(
  x,
  group,
  q = seq(0, 3, 0.1),
  na.omit = TRUE,
  ci.conf = 0.95,
  R = 1000,
  parameter = c("hill", "renyi", "tsallis"),
  ci.type = c("perc", "bca"),
  parallel = c("no", "multicore", "snow"),
  ncpus = getOption("boot.ncpus", 1L),
  cl = NULL,
  seed = 123
)

Arguments

x

A numeric or factor vector of observations.

group

A factor vector indicating the group of each observation. Must have the same length as x.

q

The order of the parametric index.

na.omit

logical. If TRUE, missing values (NA) are ignored and not included as a distinct factor level for computation. Default is TRUE.

ci.conf

Confidence level of the bootstrap interval. Default is 0.95.

R

Integer specifying the number of permutations. Default is 1000.

parameter

The parametric index. Options include "hill", "renyi" and "tsallis". Default is "hill".

ci.type

A vector of character strings representing the type of intervals required. The options are c("perc", "bca").

parallel

The type of parallel operation to be used (if any). If missing, the default is taken from the option "boot.parallel" (and if that is not set, "no").

ncpus

integer: number of processes to be used in parallel operation: typically one would chose this to the number of available CPUs.

cl

An optional parallel or snow cluster for use if parallel = "snow". If not supplied, a cluster on the local machine is created for the duration of the boot call.

seed

Integer. Random seed used to ensure reproducibility of bootstrap. Default is 123.

Value

A list of data frames with the following columns for each factor level in group.

q
observed
mean
lower
upper

Details

See Parametric Indices in diversity.calc for theoretical details.

Note

The default number of bootstrap replicates R = 1000 is provided for quick exploratory analysis. For more reliable (but slower) confidence intervals or standard error estimates it is strongly recommended to increase R to at 5000-10000, depending on your data and required precision.

Examples


library(EvaluateCore)
library(dplyr)
#> 
#> Attaching package: ‘dplyr’
#> The following objects are masked from ‘package:stats’:
#> 
#>     filter, lag
#> The following objects are masked from ‘package:base’:
#> 
#>     intersect, setdiff, setequal, union
library(ggplot2)

pdata <- cassava_CC

qual <- c("CUAL", "LNGS", "PTLC", "DSTA", "LFRT", "LBTEF", "CBTR", "NMLB",
          "ANGB", "CUAL9M", "LVC9M", "TNPR9M", "PL9M", "STRP", "STRC",
          "PSTR")

# Convert qualitative data columns to factor
pdata[, qual] <- lapply(pdata[, qual], as.factor)

str(pdata)
#> 'data.frame':	168 obs. of  26 variables:
#>  $ CUAL  : Factor w/ 4 levels "Dark green","Green purple",..: 3 1 2 2 2 2 4 2 2 1 ...
#>  $ LNGS  : Factor w/ 3 levels "Long","Medium",..: 3 1 2 2 2 2 2 1 1 1 ...
#>  $ PTLC  : Factor w/ 5 levels "Dark green","Green purple",..: 3 4 4 4 4 5 4 2 2 5 ...
#>  $ DSTA  : Factor w/ 5 levels "Absent","Central part",..: 1 5 5 5 5 5 5 4 2 5 ...
#>  $ LFRT  : Factor w/ 4 levels "25-50% leaf retention",..: 1 1 1 1 3 2 2 2 2 2 ...
#>  $ LBTEF : Factor w/ 6 levels "0","1","2","3",..: 3 1 2 1 4 5 4 4 3 2 ...
#>  $ CBTR  : Factor w/ 3 levels "Cream","White",..: 2 2 2 2 1 2 1 1 1 1 ...
#>  $ NMLB  : Factor w/ 9 levels "0","1","2","3",..: 3 1 2 1 4 4 4 3 3 4 ...
#>  $ ANGB  : Factor w/ 4 levels "150-300","450-600",..: 1 4 1 4 2 2 2 1 2 2 ...
#>  $ CUAL9M: Factor w/ 5 levels "Dark green","Green",..: 1 1 3 5 3 3 5 5 5 4 ...
#>  $ LVC9M : Factor w/ 5 levels "Dark green","Green",..: 4 3 3 3 3 1 3 1 4 3 ...
#>  $ TNPR9M: Factor w/ 5 levels "1","2","3","4",..: 5 5 4 2 5 4 2 5 5 5 ...
#>  $ PL9M  : Factor w/ 2 levels "Long (25-30cm)",..: 2 2 1 1 1 1 1 1 2 2 ...
#>  $ STRP  : Factor w/ 4 levels "Absent","Intermediate",..: 2 3 1 1 1 1 4 1 1 4 ...
#>  $ STRC  : Factor w/ 2 levels "Absent","Present": 2 2 1 2 1 1 2 1 1 2 ...
#>  $ PSTR  : Factor w/ 2 levels "Irregular","Tending toward horizontal": 1 2 2 2 1 2 2 2 1 2 ...
#>  $ NMSR  : num  6 2 6 2 20 13 4 14 10 5 ...
#>  $ TTRN  : num  3 0.5 3 2 5 ...
#>  $ TFWSR : num  1.4 2.6 1.2 1.6 5 7 4.2 2.8 2.8 4 ...
#>  $ TTRW  : num  0.7 0.65 0.6 1.6 1.25 ...
#>  $ TFWSS : num  1 2.8 2.8 2.4 16 12 9 4.4 6.2 5 ...
#>  $ TTSW  : num  0.5 0.7 1.4 2.4 4 ...
#>  $ TTPW  : num  2.4 5.4 4 4 21 19 13.2 7.2 9 9 ...
#>  $ AVPW  : num  1.2 1.35 2 4 5.25 4.75 3.3 2.4 1.8 2.25 ...
#>  $ ARSR  : num  2 0 2 0 3 0 0 6 0 0 ...
#>  $ SRDM  : num  42 39.8 29.7 43 37.9 37 38.9 36.9 41 37.9 ...

important_q <- c(0, 1, 2)
important_labels <- c("0D", "1D", "2D")

# NOTE: Increase R to 10000 for more reliable (but slower) estimates.

# Hill profile - Percentile CIs ----

hill_profile1 <-
  diversity.profile(x = pdata$CUAL, group = pdata$LNGS,
                    parameter = "hill", ci.type = "perc",
                    R = 100)
hill_profile1
#> $Long
#>      q observed     mean    lower    upper ci.type
#> 1  0.0 3.000000 3.000000 3.000000 3.000000    perc
#> 2  0.1 2.970041 2.965527 2.919290 2.994121    perc
#> 3  0.2 2.940750 2.932192 2.842233 2.988250    perc
#> 4  0.3 2.912153 2.900010 2.769187 2.982390    perc
#> 5  0.4 2.884272 2.868987 2.700099 2.976541    perc
#> 6  0.5 2.857124 2.839120 2.634955 2.970706    perc
#> 7  0.6 2.830721 2.810399 2.573706 2.964887    perc
#> 8  0.7 2.805073 2.782809 2.516270 2.959084    perc
#> 9  0.8 2.780186 2.756329 2.469493 2.953301    perc
#> 10 0.9 2.756060 2.730934 2.429612 2.947538    perc
#> 11 1.0 2.732695 2.706596 2.393756 2.941797    perc
#> 12 1.1 2.710085 2.683284 2.361469 2.936080    perc
#> 13 1.2 2.688224 2.660965 2.326622 2.930389    perc
#> 14 1.3 2.667101 2.639605 2.295192 2.924724    perc
#> 15 1.4 2.646704 2.619169 2.264013 2.919089    perc
#> 16 1.5 2.627019 2.599620 2.230264 2.913484    perc
#> 17 1.6 2.608031 2.580922 2.197525 2.907910    perc
#> 18 1.7 2.589722 2.563040 2.166801 2.902370    perc
#> 19 1.8 2.572075 2.545938 2.136294 2.896865    perc
#> 20 1.9 2.555070 2.529581 2.107384 2.891396    perc
#> 21 2.0 2.538688 2.513935 2.080265 2.885964    perc
#> 22 2.1 2.522908 2.498966 2.054843 2.880572    perc
#> 23 2.2 2.507711 2.484642 2.031026 2.875219    perc
#> 24 2.3 2.493075 2.470933 2.008719 2.869908    perc
#> 25 2.4 2.478981 2.457808 1.987832 2.864639    perc
#> 26 2.5 2.465409 2.445239 1.968274 2.859414    perc
#> 27 2.6 2.452337 2.433199 1.949959 2.854234    perc
#> 28 2.7 2.439748 2.421660 1.932804 2.849100    perc
#> 29 2.8 2.427621 2.410598 1.916731 2.844013    perc
#> 30 2.9 2.415938 2.399990 1.901666 2.838973    perc
#> 31 3.0 2.404680 2.389812 1.887538 2.833982    perc
#> 
#> $Medium
#>      q observed     mean    lower    upper ci.type
#> 1  0.0 4.000000 3.540000 3.000000 4.000000    perc
#> 2  0.1 3.775167 3.412327 2.913982 3.869732    perc
#> 3  0.2 3.586424 3.299979 2.832172 3.749020    perc
#> 4  0.3 3.427791 3.200860 2.756875 3.638839    perc
#> 5  0.4 3.293906 3.113045 2.687079 3.537879    perc
#> 6  0.5 3.180150 3.034831 2.622537 3.450294    perc
#> 7  0.6 3.082659 2.964754 2.563273 3.373527    perc
#> 8  0.7 2.998274 2.901581 2.504153 3.304748    perc
#> 9  0.8 2.924454 2.844287 2.445643 3.242893    perc
#> 10 0.9 2.859178 2.792026 2.383772 3.186604    perc
#> 11 1.0 2.800853 2.847501 2.353253 3.189054    perc
#> 12 1.1 2.748230 2.699954 2.256499 3.088438    perc
#> 13 1.2 2.700330 2.659105 2.201718 3.045469    perc
#> 14 1.3 2.656390 2.621170 2.151954 3.005878    perc
#> 15 1.4 2.615811 2.585830 2.106659 2.966002    perc
#> 16 1.5 2.578125 2.552814 2.065359 2.937614    perc
#> 17 1.6 2.542961 2.521895 2.027642 2.912390    perc
#> 18 1.7 2.510025 2.492881 1.993147 2.898757    perc
#> 19 1.8 2.479080 2.465605 1.961553 2.883340    perc
#> 20 1.9 2.449934 2.439921 1.932579 2.865014    perc
#> 21 2.0 2.422430 2.415705 1.905974 2.847655    perc
#> 22 2.1 2.396434 2.392844 1.881511 2.831142    perc
#> 23 2.2 2.371835 2.371239 1.858991 2.815373    perc
#> 24 2.3 2.348536 2.350800 1.838233 2.800269    perc
#> 25 2.4 2.326451 2.331447 1.819073 2.785760    perc
#> 26 2.5 2.305505 2.313107 1.801367 2.771792    perc
#> 27 2.6 2.285629 2.295713 1.784984 2.758318    perc
#> 28 2.7 2.266761 2.279205 1.769803 2.745290    perc
#> 29 2.8 2.248843 2.263526 1.755720 2.732512    perc
#> 30 2.9 2.231821 2.248624 1.742637 2.720138    perc
#> 31 3.0 2.215647 2.234452 1.730468 2.708146    perc
#> 
#> $Short
#>      q observed     mean    lower    upper ci.type
#> 1  0.0 4.000000 3.850000 3.000000 4.000000    perc
#> 2  0.1 3.933810 3.757118 2.928167 3.978361    perc
#> 3  0.2 3.870196 3.669992 2.857629 3.957155    perc
#> 4  0.3 3.809136 3.588497 2.788678 3.936381    perc
#> 5  0.4 3.750595 3.512442 2.721584 3.916039    perc
#> 6  0.5 3.694521 3.441585 2.656591 3.896127    perc
#> 7  0.6 3.640856 3.375645 2.593911 3.876641    perc
#> 8  0.7 3.589527 3.314320 2.519231 3.857579    perc
#> 9  0.8 3.540459 3.257302 2.427858 3.838935    perc
#> 10 0.9 3.493567 3.204280 2.340655 3.820704    perc
#> 11 1.0 3.448767 3.154954 2.246508 3.802881    perc
#> 12 1.1 3.405970 3.109039 2.164395 3.785459    perc
#> 13 1.2 3.365087 3.066263 2.092723 3.768432    perc
#> 14 1.3 3.326031 3.026377 2.030060 3.751792    perc
#> 15 1.4 3.288713 2.989147 1.977788 3.735533    perc
#> 16 1.5 3.253050 2.954359 1.938795 3.719648    perc
#> 17 1.6 3.218958 2.921817 1.903960 3.704129    perc
#> 18 1.7 3.186359 2.891341 1.872727 3.688969    perc
#> 19 1.8 3.155176 2.862767 1.844620 3.674161    perc
#> 20 1.9 3.125338 2.835945 1.819234 3.659697    perc
#> 21 2.0 3.096774 2.810738 1.796226 3.645570    perc
#> 22 2.1 3.069420 2.787022 1.775303 3.634102    perc
#> 23 2.2 3.043214 2.764682 1.756215 3.623070    perc
#> 24 2.3 3.018098 2.743615 1.738748 3.612454    perc
#> 25 2.4 2.994016 2.723726 1.722719 3.602234    perc
#> 26 2.5 2.970917 2.704928 1.707970 3.592392    perc
#> 27 2.6 2.948751 2.687142 1.694365 3.582911    perc
#> 28 2.7 2.927474 2.670296 1.681784 3.573773    perc
#> 29 2.8 2.907041 2.654323 1.670126 3.564963    perc
#> 30 2.9 2.887412 2.639162 1.659300 3.556464    perc
#> 31 3.0 2.868549 2.624758 1.649226 3.548262    perc
#> 
#> attr(,"R")
#> [1] 100
#> attr(,"conf")
#> [1] 0.95
#> attr(,"parameter")
#> [1] "hill"
#> attr(,"ci.type")
#> [1] "perc"

hill_profile1_df <- dplyr::bind_rows(hill_profile1, .id = "group")

hill_points1_df <- hill_profile1_df %>%
  filter(q %in% important_q) %>%
  mutate(order_label = factor(q, levels = important_q,
                              labels = important_labels))

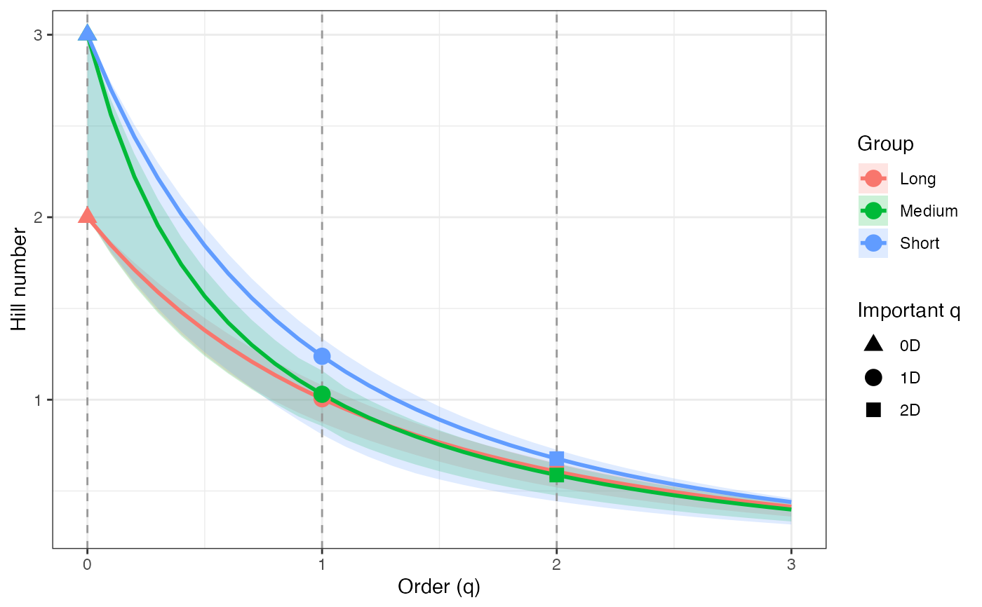
ggplot(hill_profile1_df, aes(x = q, y = observed,
                             color = group, fill = group)) +
  geom_ribbon(aes(ymin = lower, ymax = upper), alpha = 0.2, color = NA) +
  geom_line(linewidth = 1) +
  geom_vline(xintercept = c(0, 1, 2), linetype = "dashed",
             color = "grey60") +
  geom_point(data = hill_points1_df, aes(shape = order_label),
    size = 3, stroke = 1, inherit.aes = TRUE) +
  scale_shape_manual(values = c(17, 19, 15), name = "Important q")  +
  labs(x = "Order (q)", y = "Hill number",
    color = "Group", fill = "Group") +
  theme_bw()


ggplot(hill_profile1_df, aes(x = q, y = observed)) +
  geom_ribbon(aes(ymin = lower, ymax = upper), fill = "grey80") +
  geom_line(color = "black", linewidth = 1) +
  facet_wrap(~ group, scales = "free_y") +
  labs(x = "Order (q)", y = "Hill number") +
  theme_bw()


# Rényi profile - Percentile CIs ----

renyi_profile1 <-
  diversity.profile(pdata$CUAL, group = pdata$LNGS,
                    parameter = "renyi", ci.type = "perc",
                    R = 100)
renyi_profile1
#> $Long
#>      q  observed      mean     lower    upper ci.type
#> 1  0.0 1.0986123 1.0986123 1.0986123 1.098612    perc
#> 2  0.1 1.0885756 1.0870352 1.0713405 1.096651    perc
#> 3  0.2 1.0786646 1.0756751 1.0445900 1.094688    perc
#> 4  0.3 1.0688928 1.0645524 1.0185534 1.092725    perc
#> 5  0.4 1.0592726 1.0536840 0.9932854 1.090762    perc
#> 6  0.5 1.0498155 1.0430838 0.9688562 1.088800    perc
#> 7  0.6 1.0405315 1.0327627 0.9453233 1.086839    perc
#> 8  0.7 1.0314297 1.0227288 0.9227308 1.084880    perc
#> 9  0.8 1.0225177 1.0129878 0.9039650 1.082923    perc
#> 10 0.9 1.0138021 1.0035431 0.8876954 1.080970    perc
#> 11 1.0 1.0052882 0.9943962 0.8728393 1.079020    perc
#> 12 1.1 0.9969801 0.9855467 0.8592705 1.077075    perc
#> 13 1.2 0.9888807 0.9769926 0.8444168 1.075134    perc
#> 14 1.3 0.9809920 0.9687308 0.8308097 1.073199    perc
#> 15 1.4 0.9733151 0.9607569 0.8171116 1.071270    perc
#> 16 1.5 0.9658499 0.9530654 0.8020777 1.069347    perc
#> 17 1.6 0.9585956 0.9456502 0.7872769 1.067432    perc
#> 18 1.7 0.9515507 0.9385045 0.7731827 1.065525    perc
#> 19 1.8 0.9447130 0.9316209 0.7589977 1.063625    perc
#> 20 1.9 0.9380796 0.9249916 0.7453687 1.061735    perc
#> 21 2.0 0.9316472 0.9186086 0.7324130 1.059854    perc
#> 22 2.1 0.9254122 0.9124637 0.7201144 1.057982    perc
#> 23 2.2 0.9193702 0.9065485 0.7084532 1.056121    perc
#> 24 2.3 0.9135169 0.9008547 0.6974074 1.054271    perc
#> 25 2.4 0.9078477 0.8953740 0.6869526 1.052432    perc
#> 26 2.5 0.9023576 0.8900981 0.6770634 1.050605    perc
#> 27 2.6 0.8970416 0.8850190 0.6677135 1.048790    perc
#> 28 2.7 0.8918947 0.8801286 0.6588763 1.046988    perc
#> 29 2.8 0.8869118 0.8754193 0.6505251 1.045199    perc
#> 30 2.9 0.8820876 0.8708834 0.6426336 1.043423    perc
#> 31 3.0 0.8774170 0.8665138 0.6351764 1.041662    perc
#> 
#> $Medium
#>      q  observed      mean     lower     upper ci.type
#> 1  0.0 1.3862944 1.2539606 1.0986123 1.3862944    perc
#> 2  0.1 1.3284446 1.2196338 1.0695199 1.3531850    perc
#> 3  0.2 1.2771555 1.1879051 1.0410417 1.3214922    perc
#> 4  0.3 1.2319160 1.1586511 1.0140956 1.2916590    perc
#> 5  0.4 1.1920742 1.1316895 0.9884536 1.2635166    perc
#> 6  0.5 1.1569284 1.1068094 0.9641420 1.2384492    perc
#> 7  0.6 1.1257925 1.0837948 0.9412842 1.2159523    perc
#> 8  0.7 1.0980367 1.0624396 0.9179494 1.1953579    perc
#> 9  0.8 1.0731077 1.0425563 0.8943079 1.1764658    perc
#> 10 0.9 1.0505342 1.0239795 0.8686818 1.1589550    perc
#> 11 1.0 1.0299241 1.0440692 0.8553457 1.1596702    perc
#> 12 1.1 1.0109570 0.9901955 0.8137426 1.1276507    perc
#> 13 1.2 0.9933740 0.9747635 0.7891224 1.1136260    perc
#> 14 1.3 0.9769680 0.9601836 0.7662219 1.1005218    perc
#> 15 1.4 0.9615743 0.9463820 0.7449180 1.0871727    perc
#> 16 1.5 0.9470625 0.9332962 0.7250965 1.0775935    perc
#> 17 1.6 0.9333293 0.9208723 0.7066515 1.0689660    perc
#> 18 1.7 0.9202928 0.9090639 0.6894846 1.0642578    perc
#> 19 1.8 0.9078876 0.8978302 0.6735042 1.0589221    perc
#> 20 1.9 0.8960613 0.8871351 0.6586249 1.0525525    perc
#> 21 2.0 0.8847711 0.8769463 0.6447671 1.0464808    perc
#> 22 2.1 0.8739819 0.8672344 0.6318562 1.0406695    perc
#> 23 2.2 0.8636641 0.8579729 0.6198228 1.0350879    perc
#> 24 2.3 0.8537922 0.8491371 0.6086022 1.0297111    perc
#> 25 2.4 0.8443440 0.8407042 0.5981339 1.0245184    perc
#> 26 2.5 0.8352998 0.8326530 0.5883618 1.0194929    perc
#> 27 2.6 0.8266413 0.8249635 0.5792337 1.0146207    perc
#> 28 2.7 0.8183519 0.8176171 0.5707014 1.0098866    perc
#> 29 2.8 0.8104158 0.8105961 0.5627199 1.0052210    perc
#> 30 2.9 0.8028180 0.8038840 0.5552479 1.0006819    perc
#> 31 3.0 0.7955444 0.7974649 0.5482469 0.9962622    perc
#> 
#> $Short
#>      q observed      mean     lower    upper ci.type
#> 1  0.0 1.386294 1.3431421 1.0986123 1.386294    perc
#> 2  0.1 1.369609 1.3190363 1.0743761 1.380870    perc
#> 3  0.2 1.353305 1.2956683 1.0499905 1.375524    perc
#> 4  0.3 1.337402 1.2731155 1.0255639 1.370259    perc
#> 5  0.4 1.321914 1.2514372 1.0012082 1.365077    perc
#> 6  0.5 1.306851 1.2306731 0.9770358 1.359978    perc
#> 7  0.6 1.292219 1.2108452 0.9531570 1.354963    perc
#> 8  0.7 1.278021 1.1919591 0.9239536 1.350033    perc
#> 9  0.8 1.264256 1.1740066 0.8868933 1.345188    perc
#> 10 0.9 1.250923 1.1569682 0.8500964 1.340427    perc
#> 11 1.0 1.238017 1.1408164 0.8089771 1.335752    perc
#> 12 1.1 1.225530 1.1255173 0.7716779 1.331160    perc
#> 13 1.2 1.213454 1.1110333 0.7379438 1.326652    perc
#> 14 1.3 1.201780 1.0973247 0.7074902 1.322228    perc
#> 15 1.4 1.190496 1.0843509 0.6814069 1.317886    perc
#> 16 1.5 1.179593 1.0720714 0.6616248 1.313625    perc
#> 17 1.6 1.169058 1.0604463 0.6435955 1.309446    perc
#> 18 1.7 1.158879 1.0494374 0.6271330 1.305345    perc
#> 19 1.8 1.149044 1.0390077 0.6120705 1.301324    perc
#> 20 1.9 1.139542 1.0291220 0.5982590 1.297380    perc
#> 21 2.0 1.130361 1.0197471 0.5855667 1.293513    perc
#> 22 2.1 1.121489 1.0108515 0.5738773 1.290362    perc
#> 23 2.2 1.112914 1.0024057 0.5630882 1.287322    perc
#> 24 2.3 1.104627 0.9943817 0.5531090 1.284387    perc
#> 25 2.4 1.096616 0.9867537 0.5438602 1.281554    perc
#> 26 2.5 1.088871 0.9794972 0.5352717 1.278818    perc
#> 27 2.6 1.081382 0.9725895 0.5272815 1.276176    perc
#> 28 2.7 1.074140 0.9660093 0.5198349 1.273622    perc
#> 29 2.8 1.067136 0.9597367 0.5128832 1.271154    perc
#> 30 2.9 1.060361 0.9537532 0.5063832 1.268767    perc
#> 31 3.0 1.053806 0.9480415 0.5002964 1.266458    perc
#> 
#> attr(,"R")
#> [1] 100
#> attr(,"conf")
#> [1] 0.95
#> attr(,"parameter")
#> [1] "renyi"
#> attr(,"ci.type")
#> [1] "perc"

renyi_profile1_df <- dplyr::bind_rows(renyi_profile1, .id = "group")

renyi_points1_df <- renyi_profile1_df %>%
  filter(q %in% important_q) %>%
  mutate(order_label = factor(q, levels = important_q,
                              labels = important_labels))

ggplot(renyi_profile1_df, aes(x = q, y = observed,
                              color = group, fill = group)) +
  geom_ribbon(aes(ymin = lower, ymax = upper), alpha = 0.2, color = NA) +
  geom_line(linewidth = 1) +
  geom_vline(xintercept = c(0, 1, 2), linetype = "dashed",
             color = "grey60") +
  geom_point(data = renyi_points1_df, aes(shape = order_label),
             size = 3, stroke = 1, inherit.aes = TRUE) +
  scale_shape_manual(values = c(17, 19, 15), name = "Important q")  +
  labs(x = "Order (q)", y = "Hill number",
       color = "Group", fill = "Group") +
  theme_bw()


ggplot(renyi_profile1_df, aes(x = q, y = observed)) +
  geom_ribbon(aes(ymin = lower, ymax = upper), fill = "grey80") +
  geom_line(color = "black", linewidth = 1) +
  facet_wrap(~ group, scales = "free_y") +
  labs(x = "Order (q)", y = "Hill number") +
  theme_bw()


# Tsallis profile - Percentile CIs ----

tsallis_profile1 <-
  diversity.profile(pdata$CUAL, group = pdata$LNGS,
                    parameter = "tsallis", ci.type = "perc",
                    R = 100)
tsallis_profile1
#> $Long
#>      q  observed      mean     lower     upper ci.type
#> 1  0.0 2.0000000 2.0000000 2.0000000 2.0000000    perc
#> 2  0.1 1.8485612 1.8445078 1.8030064 1.8701492    perc
#> 3  0.2 1.7126236 1.7056892 1.6329542 1.7508452    perc
#> 4  0.3 1.5903508 1.5814316 1.4858245 1.6411364    perc
#> 5  0.4 1.4801432 1.4699205 1.3579911 1.5401630    perc
#> 6  0.5 1.3806058 1.3695933 1.2465007 1.4471473    perc
#> 7  0.6 1.2905205 1.2791022 1.1488930 1.3613862    perc
#> 8  0.7 1.2088223 1.1972819 1.0631117 1.2822429    perc
#> 9  0.8 1.1345790 1.1231228 0.9908472 1.2091410    perc
#> 10 0.9 1.0669734 1.0557484 0.9282917 1.1415579    perc
#> 11 1.0 1.0052882 0.9943962 0.8728393 1.0790200    perc
#> 12 1.1 0.9488928 0.9384013 0.8233871 1.0210976    perc
#> 13 1.2 0.8972324 0.8871830 0.7769629 0.9674007    perc
#> 14 1.3 0.8498176 0.8402328 0.7353630 0.9175750    perc
#> 15 1.4 0.8062167 0.7971048 0.6970026 0.8712985    perc
#> 16 1.5 0.7660477 0.7574069 0.6607378 0.8282785    perc
#> 17 1.6 0.7289728 0.7207937 0.6274374 0.7882486    perc
#> 18 1.7 0.6946920 0.6869605 0.5970673 0.7509663    perc
#> 19 1.8 0.6629392 0.6556377 0.5688731 0.7162107    perc
#> 20 1.9 0.6334774 0.6265866 0.5429826 0.6837803    perc
#> 21 2.0 0.6060957 0.5995949 0.5192130 0.6534915    perc
#> 22 2.1 0.5806057 0.5744741 0.4973384 0.6251766    perc
#> 23 2.2 0.5568392 0.5510560 0.4771604 0.5986823    perc
#> 24 2.3 0.5346455 0.5291904 0.4585041 0.5738689    perc
#> 25 2.4 0.5138895 0.5087429 0.4412154 0.5506082    perc
#> 26 2.5 0.4944499 0.4895931 0.4251580 0.5287832    perc
#> 27 2.6 0.4762176 0.4716328 0.4102118 0.5082866    perc
#> 28 2.7 0.4590941 0.4547646 0.3962702 0.4890202    perc
#> 29 2.8 0.4429909 0.4389010 0.3832386 0.4708937    perc
#> 30 2.9 0.4278278 0.4239626 0.3710331 0.4538246    perc
#> 31 3.0 0.4135320 0.4098779 0.3595792 0.4377369    perc
#> 
#> $Medium
#>      q  observed      mean     lower     upper ci.type
#> 1  0.0 3.0000000 2.5400000 2.0000000 3.0000000    perc
#> 2  0.1 2.5617123 2.2401074 1.7982365 2.6444109    perc
#> 3  0.2 2.2224763 1.9956664 1.6247863 2.3478584    perc
#> 4  0.3 1.9552854 1.7936491 1.4767470 2.0998091    perc
#> 5  0.4 1.7411443 1.6245227 1.3492331 1.8904114    perc
#> 6  0.5 1.5665950 1.4812411 1.2388496 1.7149840    perc
#> 7  0.6 1.4220235 1.3585393 1.1429892 1.5660527    perc
#> 8  0.7 1.3004971 1.2524382 1.0567918 1.4377834    perc
#> 9  0.8 1.1969637 1.1598946 0.9792760 1.3263983    perc
#> 10 0.9 1.1076994 1.0785527 0.9075292 1.2287853    perc
#> 11 1.0 1.0299241 1.0440692 0.8553457 1.1596702    perc
#> 12 1.1 0.9615347 0.9424719 0.7815072 1.0663936    perc
#> 13 1.2 0.9009177 0.8850940 0.7299819 0.9983216    perc
#> 14 1.3 0.8468176 0.8334796 0.6844978 0.9372857    perc
#> 15 1.4 0.7982434 0.7868465 0.6441307 0.8816156    perc
#> 16 1.5 0.7544018 0.7445472 0.6081262 0.8330990    perc
#> 17 1.6 0.7146493 0.7060404 0.5758629 0.7890550    perc
#> 18 1.7 0.6784574 0.6708698 0.5468256 0.7503583    perc
#> 19 1.8 0.6453869 0.6386478 0.5205838 0.7141905    perc
#> 20 1.9 0.6150691 0.6090432 0.4967760 0.6802287    perc
#> 21 2.0 0.5871914 0.5817708 0.4750965 0.6488233    perc
#> 22 2.1 0.5614865 0.5565842 0.4552853 0.6197165    perc
#> 23 2.2 0.5377246 0.5332688 0.4371208 0.5926846    perc
#> 24 2.3 0.5157061 0.5116373 0.4204126 0.5675323    perc
#> 25 2.4 0.4952573 0.4915256 0.4049970 0.5440878    perc
#> 26 2.5 0.4762260 0.4727891 0.3907324 0.5221994    perc
#> 27 2.6 0.4584783 0.4553000 0.3774958 0.5017322    perc
#> 28 2.7 0.4418959 0.4389452 0.3651804 0.4825654    perc
#> 29 2.8 0.4263738 0.4236242 0.3536926 0.4645817    perc
#> 30 2.9 0.4118190 0.4092474 0.3429508 0.4476971    perc
#> 31 3.0 0.3981481 0.3957347 0.3328830 0.4318241    perc
#> 
#> $Short
#>      q  observed      mean     lower     upper ci.type
#> 1  0.0 3.0000000 2.8500000 2.0000000 3.0000000    perc
#> 2  0.1 2.7003331 2.5444732 1.8109797 2.7391597    perc
#> 3  0.2 2.4405950 2.2846169 1.6454402 2.5067852    perc
#> 4  0.3 2.2146076 2.0623057 1.5001663 2.2993757    perc
#> 5  0.4 2.0172417 1.8710245 1.3724067 2.1138972    perc
#> 6  0.5 1.8442276 1.7055264 1.2598040 1.9477170    perc
#> 7  0.6 1.6920012 1.5615656 1.1603366 1.7985467    perc
#> 8  0.7 1.5575795 1.4356907 1.0647063 1.6643943    perc
#> 9  0.8 1.4384586 1.3250825 0.9704435 1.5435233    perc
#> 10 0.9 1.3325309 1.2274271 0.8873121 1.4344177    perc
#> 11 1.0 1.2380168 1.1408164 0.8089771 1.3357515    perc
#> 12 1.1 1.1534096 1.0636692 0.7426119 1.2463640    perc
#> 13 1.2 1.0774297 0.9946691 0.6859806 1.1652368    perc
#> 14 1.3 1.0089869 0.9327148 0.6373107 1.0914755    perc
#> 15 1.4 0.9471496 0.8768810 0.5962613 1.0242931    perc
#> 16 1.5 0.8911198 0.8263864 0.5631613 0.9629964    perc
#> 17 1.6 0.8402110 0.7805684 0.5337549 0.9069736    perc
#> 18 1.7 0.7938317 0.7388628 0.5074738 0.8556840    perc
#> 19 1.8 0.7514702 0.7007869 0.4838543 0.8086491    perc
#> 20 1.9 0.7126828 0.6659263 0.4625154 0.7654448    perc
#> 21 2.0 0.6770833 0.6339236 0.4431424 0.7256944    perc
#> 22 2.1 0.6443352 0.6044694 0.4254739 0.6892186    perc
#> 23 2.2 0.6141439 0.5772951 0.4092914 0.6555354    perc
#> 24 2.3 0.5862509 0.5521663 0.3944114 0.6243824    perc
#> 25 2.4 0.5604291 0.5288780 0.3806785 0.5955254    perc
#> 26 2.5 0.5364780 0.5072503 0.3679609 0.5687553    perc
#> 27 2.6 0.5142206 0.4871248 0.3561459 0.5438848    perc
#> 28 2.7 0.4934997 0.4683615 0.3451367 0.5207459    perc
#> 29 2.8 0.4741760 0.4508366 0.3348497 0.4991881    perc
#> 30 2.9 0.4561251 0.4344399 0.3252125 0.4790756    perc
#> 31 3.0 0.4392361 0.4190734 0.3161621 0.4602865    perc
#> 
#> attr(,"R")
#> [1] 100
#> attr(,"conf")
#> [1] 0.95
#> attr(,"parameter")
#> [1] "tsallis"
#> attr(,"ci.type")
#> [1] "perc"

tsallis_profile1_df <- dplyr::bind_rows(tsallis_profile1, .id = "group")

tsallis_points1_df <- tsallis_profile1_df %>%
  filter(q %in% important_q) %>%
  mutate(order_label = factor(q, levels = important_q,
                              labels = important_labels))

ggplot(tsallis_profile1_df, aes(x = q, y = observed,
                                color = group, fill = group)) +
  geom_ribbon(aes(ymin = lower, ymax = upper), alpha = 0.2, color = NA) +
  geom_line(linewidth = 1) +
  geom_vline(xintercept = c(0, 1, 2), linetype = "dashed",
             color = "grey60") +
  geom_point(data = tsallis_points1_df, aes(shape = order_label),
             size = 3, stroke = 1, inherit.aes = TRUE) +
  scale_shape_manual(values = c(17, 19, 15), name = "Important q")  +
  labs(x = "Order (q)", y = "Hill number",
       color = "Group", fill = "Group") +
  theme_bw()


ggplot(tsallis_profile1_df, aes(x = q, y = observed)) +
  geom_ribbon(aes(ymin = lower, ymax = upper), fill = "grey80") +
  geom_line(color = "black", linewidth = 1) +
  facet_wrap(~ group, scales = "free_y") +
  labs(x = "Order (q)", y = "Hill number") +
  theme_bw()


# Hill profile - BCa CIs ----

hill_profile2 <-
  diversity.profile(pdata$CUAL, group = pdata$LNGS,
                    parameter = "hill", ci.type = "bca",
                    R = 100)
#> Warning: [Group: Long] No bootstrap variation; CI collapses to a point for component 1. Using percentile.
hill_profile2
#> $Long
#>      q observed     mean    lower    upper ci.type
#> 1  0.0 3.000000 3.000000 3.000000 3.000000    perc
#> 2  0.1 2.970041 2.965527 2.932545 2.995372     bca
#> 3  0.2 2.940750 2.932192 2.863502 2.990728     bca
#> 4  0.3 2.912153 2.900010 2.799673 2.986069     bca
#> 5  0.4 2.884272 2.868987 2.738976 2.981396     bca
#> 6  0.5 2.857124 2.839120 2.681496 2.976709     bca
#> 7  0.6 2.830721 2.810399 2.630102 2.972012     bca
#> 8  0.7 2.805073 2.782809 2.577771 2.967304     bca
#> 9  0.8 2.780186 2.756329 2.529918 2.962588     bca
#> 10 0.9 2.756060 2.730934 2.485132 2.957865     bca
#> 11 1.0 2.732695 2.706596 2.427051 2.950949     bca
#> 12 1.1 2.710085 2.683284 2.382272 2.945982     bca
#> 13 1.2 2.688224 2.660965 2.362100 2.943665     bca
#> 14 1.3 2.667101 2.639605 2.323292 2.938926     bca
#> 15 1.4 2.646704 2.619169 2.288397 2.934113     bca
#> 16 1.5 2.627019 2.599620 2.261746 2.929272     bca
#> 17 1.6 2.608031 2.580922 2.228176 2.922957     bca
#> 18 1.7 2.589722 2.563040 2.203406 2.918104     bca
#> 19 1.8 2.572075 2.545938 2.180581 2.913270     bca
#> 20 1.9 2.555070 2.529581 2.159130 2.908459     bca
#> 21 2.0 2.538688 2.513935 2.124021 2.901984     bca
#> 22 2.1 2.522908 2.498966 2.102563 2.897242     bca
#> 23 2.2 2.507711 2.484642 2.082248 2.892541     bca
#> 24 2.3 2.493075 2.470933 2.063014 2.887882     bca
#> 25 2.4 2.478981 2.457808 2.044801 2.883267     bca
#> 26 2.5 2.465409 2.445239 2.012201 2.877011     bca
#> 27 2.6 2.452337 2.433199 1.995137 2.872558     bca
#> 28 2.7 2.439748 2.421660 1.979036 2.868162     bca
#> 29 2.8 2.427621 2.410598 1.963842 2.863823     bca
#> 30 2.9 2.415938 2.399990 1.966468 2.860889     bca
#> 31 3.0 2.404680 2.389812 1.935965 2.855318     bca
#> 
#> $Medium
#>      q observed     mean    lower    upper ci.type
#> 1  0.0 4.000000 3.540000 3.000000 4.000000     bca
#> 2  0.1 3.775167 3.412327 2.952163 3.905080     bca
#> 3  0.2 3.586424 3.299979 2.904874 3.813829     bca
#> 4  0.3 3.427791 3.200860 2.857909 3.726278     bca
#> 5  0.4 3.293906 3.113045 2.819627 3.642435     bca
#> 6  0.5 3.180150 3.034831 2.772660 3.562280     bca
#> 7  0.6 3.082659 2.964754 2.722793 3.485770     bca
#> 8  0.7 2.998274 2.901581 2.666897 3.412843     bca
#> 9  0.8 2.924454 2.844287 2.596739 3.343420     bca
#> 10 0.9 2.859178 2.792026 2.523580 3.277409     bca
#> 11 1.0 2.800853 2.847501 2.298108 3.036745     bca
#> 12 1.1 2.748230 2.699954 2.321664 3.149462     bca
#> 13 1.2 2.700330 2.659105 2.254534 3.085279     bca
#> 14 1.3 2.656390 2.621170 2.198320 3.038350     bca
#> 15 1.4 2.615811 2.585830 2.112456 2.970052     bca
#> 16 1.5 2.578125 2.552814 2.090746 2.942559     bca
#> 17 1.6 2.542961 2.521895 2.000212 2.903576     bca
#> 18 1.7 2.510025 2.492881 1.963177 2.882086     bca
#> 19 1.8 2.479080 2.465605 1.930196 2.864650     bca
#> 20 1.9 2.449934 2.439921 1.886424 2.839210     bca
#> 21 2.0 2.422430 2.415705 1.860490 2.822951     bca
#> 22 2.1 2.396434 2.392844 1.830849 2.795464     bca
#> 23 2.2 2.371835 2.371239 1.809002 2.780066     bca
#> 24 2.3 2.348536 2.350800 1.788981 2.765619     bca
#> 25 2.4 2.326451 2.331447 1.770596 2.752028     bca
#> 26 2.5 2.305505 2.313107 1.747312 2.725366     bca
#> 27 2.6 2.285629 2.295713 1.731531 2.713495     bca
#> 28 2.7 2.266761 2.279205 1.716966 2.702208     bca
#> 29 2.8 2.248843 2.263526 1.697313 2.680014     bca
#> 30 2.9 2.231821 2.248624 1.691038 2.681181     bca
#> 31 3.0 2.215647 2.234452 1.679480 2.671357     bca
#> 
#> $Short
#>      q observed     mean    lower    upper ci.type
#> 1  0.0 4.000000 3.850000 3.000000 4.000000     bca
#> 2  0.1 3.933810 3.757118 3.877980 3.988280     bca
#> 3  0.2 3.870196 3.669992 3.767522 3.976678     bca
#> 4  0.3 3.809136 3.588497 3.667194 3.965197     bca
#> 5  0.4 3.750595 3.512442 3.568716 3.953837     bca
#> 6  0.5 3.694521 3.441585 3.468633 3.942602     bca
#> 7  0.6 3.640856 3.375645 3.372719 3.931491     bca
#> 8  0.7 3.589527 3.314320 3.261430 3.920507     bca
#> 9  0.8 3.540459 3.257302 3.252818 3.909650     bca
#> 10 0.9 3.493567 3.204280 3.182505 3.898922     bca
#> 11 1.0 3.448767 3.154954 3.112232 3.888323     bca
#> 12 1.1 3.405970 3.109039 3.042049 3.877853     bca
#> 13 1.2 3.365087 3.066263 2.964983 3.867513     bca
#> 14 1.3 3.326031 3.026377 2.865854 3.857304     bca
#> 15 1.4 3.288713 2.989147 2.826590 3.847225     bca
#> 16 1.5 3.253050 2.954359 2.750550 3.837276     bca
#> 17 1.6 3.218958 2.921817 2.729023 3.827457     bca
#> 18 1.7 3.186359 2.891341 2.699936 3.817768     bca
#> 19 1.8 3.155176 2.862767 2.686806 3.808208     bca
#> 20 1.9 3.125338 2.835945 2.665494 3.798777     bca
#> 21 2.0 3.096774 2.810738 2.642202 3.789474     bca
#> 22 2.1 3.069420 2.787022 2.493607 3.780298     bca
#> 23 2.2 3.043214 2.764682 2.458828 3.771249     bca
#> 24 2.3 3.018098 2.743615 2.356433 3.762325     bca
#> 25 2.4 2.994016 2.723726 2.330302 3.753525     bca
#> 26 2.5 2.970917 2.704928 2.304934 3.744850     bca
#> 27 2.6 2.948751 2.687142 2.277157 3.736296     bca
#> 28 2.7 2.927474 2.670296 2.208431 3.727864     bca
#> 29 2.8 2.907041 2.654323 2.191599 3.719551     bca
#> 30 2.9 2.887412 2.639162 2.181589 3.711357     bca
#> 31 3.0 2.868549 2.624758 2.170635 3.703280     bca
#> 
#> attr(,"R")
#> [1] 100
#> attr(,"conf")
#> [1] 0.95
#> attr(,"parameter")
#> [1] "hill"
#> attr(,"ci.type")
#> [1] "bca"

hill_profile2_df <- dplyr::bind_rows(hill_profile2, .id = "group")

hill_points2_df <- hill_profile2_df %>%
  filter(q %in% important_q) %>%
  mutate(order_label = factor(q, levels = important_q,
                              labels = important_labels))

ggplot(hill_profile2_df, aes(x = q, y = observed,
                             color = group, fill = group)) +
  geom_ribbon(aes(ymin = lower, ymax = upper), alpha = 0.2, color = NA) +
  geom_line(linewidth = 1) +
  geom_vline(xintercept = c(0, 1, 2), linetype = "dashed",
             color = "grey60") +
  geom_point(data = hill_points2_df, aes(shape = order_label),
             size = 3, stroke = 1, inherit.aes = TRUE) +
  scale_shape_manual(values = c(17, 19, 15), name = "Important q")  +
  labs(x = "Order (q)", y = "Hill number",
       color = "Group", fill = "Group") +
  theme_bw()


ggplot(hill_profile2_df, aes(x = q, y = observed)) +
  geom_ribbon(aes(ymin = lower, ymax = upper), fill = "grey80") +
  geom_line(color = "black", linewidth = 1) +
  facet_wrap(~ group, scales = "free_y") +
  labs(x = "Order (q)", y = "Hill number") +
  theme_bw()


# Rényi profile - BCa CIs ----

renyi_profile2 <-
  diversity.profile(pdata$CUAL, group = pdata$LNGS,
                    parameter = "renyi", ci.type = "bca",
                    R = 100)
#> Warning: [Group: Long] No bootstrap variation; CI collapses to a point for component 1. Using percentile.
renyi_profile2
#> $Long
#>      q  observed      mean     lower    upper ci.type
#> 1  0.0 1.0986123 1.0986123 1.0986123 1.098612    perc
#> 2  0.1 1.0885756 1.0870352 1.0758710 1.097069     bca
#> 3  0.2 1.0786646 1.0756751 1.0520463 1.095517     bca
#> 4  0.3 1.0688928 1.0645524 1.0295041 1.093958     bca
#> 5  0.4 1.0592726 1.0536840 1.0075857 1.092391     bca
#> 6  0.5 1.0498155 1.0430838 0.9863755 1.090818     bca
#> 7  0.6 1.0405315 1.0327627 0.9670251 1.089239     bca
#> 8  0.7 1.0314297 1.0227288 0.9469301 1.087654     bca
#> 9  0.8 1.0225177 1.0129878 0.9281978 1.086063     bca
#> 10 0.9 1.0138021 1.0035431 0.9103428 1.084468     bca
#> 11 1.0 1.0052882 0.9943962 0.8866940 1.082131     bca
#> 12 1.1 0.9969801 0.9855467 0.8680785 1.080447     bca
#> 13 1.2 0.9888807 0.9769926 0.8595818 1.079655     bca
#> 14 1.3 0.9809920 0.9687308 0.8430132 1.078044     bca
#> 15 1.4 0.9733151 0.9607569 0.8278706 1.076411     bca
#> 16 1.5 0.9658499 0.9530654 0.8161574 1.074760     bca
#> 17 1.6 0.9585956 0.9456502 0.8011945 1.072602     bca
#> 18 1.7 0.9515507 0.9385045 0.7900334 1.070941     bca
#> 19 1.8 0.9447130 0.9316209 0.7796298 1.069283     bca
#> 20 1.9 0.9380796 0.9249916 0.7697495 1.067630     bca
#> 21 2.0 0.9316472 0.9186086 0.7533549 1.065401     bca
#> 22 2.1 0.9254122 0.9124637 0.7432035 1.063765     bca
#> 23 2.2 0.9193702 0.9065485 0.7334959 1.062141     bca
#> 24 2.3 0.9135169 0.9008547 0.7242157 1.060529     bca
#> 25 2.4 0.9078477 0.8953740 0.7153471 1.058929     bca
#> 26 2.5 0.9023576 0.8900981 0.6992565 1.056757     bca
#> 27 2.6 0.8970416 0.8850190 0.6907379 1.055208     bca
#> 28 2.7 0.8918947 0.8801286 0.6826322 1.053676     bca
#> 29 2.8 0.8869118 0.8754193 0.6749217 1.052161     bca
#> 30 2.9 0.8820876 0.8708834 0.6762762 1.051135     bca
#> 31 3.0 0.8774170 0.8665138 0.6606161 1.049186     bca
#> 
#> $Medium
#>      q  observed      mean     lower     upper ci.type
#> 1  0.0 1.3862944 1.2539606 1.0986123 1.3862944     bca
#> 2  0.1 1.3284446 1.2196338 1.0825391 1.3622783     bca
#> 3  0.2 1.2771555 1.1879051 1.0664017 1.3386336     bca
#> 4  0.3 1.2319160 1.1586511 1.0501308 1.3154100     bca
#> 5  0.4 1.1920742 1.1316895 1.0367309 1.2926525     bca
#> 6  0.5 1.1569284 1.1068094 1.0200689 1.2704008     bca
#> 7  0.6 1.1257925 1.0837948 1.0022530 1.2486889     bca
#> 8  0.7 1.0980367 1.0624396 0.9817532 1.2275456     bca
#> 9  0.8 1.0731077 1.0425563 0.9543792 1.2069943     bca
#> 10 0.9 1.0505342 1.0239795 0.9261618 1.1870531     bca
#> 11 1.0 1.0299241 1.0440692 0.8320861 1.1107907     bca
#> 12 1.1 1.0109570 0.9901955 0.8430059 1.1475966     bca
#> 13 1.2 0.9933740 0.9747635 0.8132593 1.1268140     bca
#> 14 1.3 0.9769680 0.9601836 0.7879301 1.1113549     bca
#> 15 1.4 0.9615743 0.9463820 0.7481097 1.0887515     bca
#> 16 1.5 0.9470625 0.9332962 0.7377280 1.0793188     bca
#> 17 1.6 0.9333293 0.9208723 0.6933023 1.0659862     bca
#> 18 1.7 0.9202928 0.9090639 0.6745658 1.0585639     bca
#> 19 1.8 0.9078876 0.8978302 0.6575951 1.0524838     bca
#> 20 1.9 0.8960613 0.8871351 0.6346948 1.0435363     bca
#> 21 2.0 0.8847711 0.8769463 0.6208455 1.0377878     bca
#> 22 2.1 0.8739819 0.8672344 0.6047659 1.0280017     bca
#> 23 2.2 0.8636641 0.8579729 0.5927557 1.0224745     bca
#> 24 2.3 0.8537922 0.8491371 0.5816214 1.0172613     bca
#> 25 2.4 0.8443440 0.8407042 0.5712871 1.0123325     bca
#> 26 2.5 0.8352998 0.8326530 0.5580405 1.0025998     bca
#> 27 2.6 0.8266413 0.8249635 0.5489636 0.9982342     bca
#> 28 2.7 0.8183519 0.8176171 0.5405125 0.9940656     bca
#> 29 2.8 0.8104158 0.8105961 0.5290057 0.9858173     bca
#> 30 2.9 0.8028180 0.8038840 0.5252892 0.9862527     bca
#> 31 3.0 0.7955444 0.7974649 0.5184279 0.9825813     bca
#> 
#> $Short
#>      q observed      mean     lower    upper ci.type
#> 1  0.0 1.386294 1.3431421 1.0986123 1.386294     bca
#> 2  0.1 1.369609 1.3190363 1.3553145 1.383360     bca
#> 3  0.2 1.353305 1.2956683 1.3264266 1.380447     bca
#> 4  0.3 1.337402 1.2731155 1.2994596 1.377555     bca
#> 5  0.4 1.321914 1.2514372 1.2722060 1.374687     bca
#> 6  0.5 1.306851 1.2306731 1.2437605 1.371841     bca
#> 7  0.6 1.292219 1.2108452 1.2158124 1.369019     bca
#> 8  0.7 1.278021 1.1919591 1.1830825 1.366221     bca
#> 9  0.8 1.264256 1.1740066 1.1799299 1.363448     bca
#> 10 0.9 1.250923 1.1569682 1.1579722 1.360700     bca
#> 11 1.0 1.238017 1.1408164 1.1357278 1.357978     bca
#> 12 1.1 1.225530 1.1255173 1.1136837 1.355282     bca
#> 13 1.2 1.213454 1.1110333 1.0887980 1.352612     bca
#> 14 1.3 1.201780 1.0973247 1.0529275 1.349968     bca
#> 15 1.4 1.190496 1.0843509 1.0392726 1.347352     bca
#> 16 1.5 1.179593 1.0720714 1.0122510 1.344763     bca
#> 17 1.6 1.169058 1.0604463 1.0039435 1.342201     bca
#> 18 1.7 1.158879 1.0494374 0.9935947 1.339666     bca
#> 19 1.8 1.149044 1.0390077 0.9886909 1.337159     bca
#> 20 1.9 1.139542 1.0291220 0.9805934 1.334679     bca
#> 21 2.0 1.130361 1.0197471 0.9716126 1.332227     bca
#> 22 2.1 1.121489 1.0108515 0.9148452 1.329803     bca
#> 23 2.2 1.112914 1.0024057 0.9009437 1.327406     bca
#> 24 2.3 1.104627 0.9943817 0.8571701 1.325037     bca
#> 25 2.4 1.096616 0.9867537 0.8461694 1.322696     bca
#> 26 2.5 1.088871 0.9794972 0.8353206 1.320381     bca
#> 27 2.6 1.081382 0.9725895 0.8231472 1.318095     bca
#> 28 2.7 1.074140 0.9660093 0.7924803 1.315835     bca
#> 29 2.8 1.067136 0.9597367 0.7847679 1.313603     bca
#> 30 2.9 1.060361 0.9537532 0.7801050 1.311398     bca
#> 31 3.0 1.053806 0.9480415 0.7750198 1.309219     bca
#> 
#> attr(,"R")
#> [1] 100
#> attr(,"conf")
#> [1] 0.95
#> attr(,"parameter")
#> [1] "renyi"
#> attr(,"ci.type")
#> [1] "bca"

renyi_profile2_df <- dplyr::bind_rows(renyi_profile2, .id = "group")

renyi_points2_df <- renyi_profile2_df %>%
  filter(q %in% important_q) %>%
  mutate(order_label = factor(q, levels = important_q,
                              labels = important_labels))

ggplot(renyi_profile2_df, aes(x = q, y = observed,
                              color = group, fill = group)) +
  geom_ribbon(aes(ymin = lower, ymax = upper), alpha = 0.2, color = NA) +
  geom_line(linewidth = 1) +
  geom_vline(xintercept = c(0, 1, 2), linetype = "dashed",
             color = "grey60") +
  geom_point(data = renyi_points2_df, aes(shape = order_label),
             size = 3, stroke = 1, inherit.aes = TRUE) +
  scale_shape_manual(values = c(17, 19, 15), name = "Important q")  +
  labs(x = "Order (q)", y = "Hill number",
       color = "Group", fill = "Group") +
  theme_bw()


ggplot(renyi_profile2_df, aes(x = q, y = observed)) +
  geom_ribbon(aes(ymin = lower, ymax = upper), fill = "grey80") +
  geom_line(color = "black", linewidth = 1) +
  facet_wrap(~ group, scales = "free_y") +
  labs(x = "Order (q)", y = "Hill number") +
  theme_bw()


# Tsallis profile - BCa CIs ----

tsallis_profile2 <-
  diversity.profile(pdata$CUAL, group = pdata$LNGS,
                    parameter = "tsallis", ci.type = "bca",
                    R = 100)
#> Warning: [Group: Long] No bootstrap variation; CI collapses to a point for component 1. Using percentile.
tsallis_profile2
#> $Long
#>      q  observed      mean     lower     upper ci.type
#> 1  0.0 2.0000000 2.0000000 2.0000000 2.0000000    perc
#> 2  0.1 1.8485612 1.8445078 1.8149117 1.8712706     bca
#> 3  0.2 1.7126236 1.7056892 1.6502007 1.7528358     bca
#> 4  0.3 1.5903508 1.5814316 1.5082476 1.6437867     bca
#> 5  0.4 1.4801432 1.4699205 1.3840497 1.5432999     bca
#> 6  0.5 1.3806058 1.3695933 1.2750554 1.4506286     bca
#> 7  0.6 1.2905205 1.2791022 1.1806906 1.3650955     bca
#> 8  0.7 1.2088223 1.1972819 1.0951244 1.2860859     bca
#> 9  0.8 1.1345790 1.1231228 1.0199385 1.2130417     bca
#> 10 0.9 1.0669734 1.0557484 0.9530636 1.1454558     bca
#> 11 1.0 1.0052882 0.9943962 0.8866940 1.0821310     bca
#> 12 1.1 0.9488928 0.9384013 0.8314697 1.0241257     bca
#> 13 1.2 0.8972324 0.8871830 0.7897571 0.9710458     bca
#> 14 1.3 0.8498176 0.8402328 0.7448650 0.9210843     bca
#> 15 1.4 0.8062167 0.7971048 0.7047588 0.8746465     bca
#> 16 1.5 0.7660477 0.7574069 0.6701537 0.8314478     bca
#> 17 1.6 0.7289728 0.7207937 0.6361041 0.7909721     bca
#> 18 1.7 0.6946920 0.6869605 0.6068575 0.7535336     bca
#> 19 1.8 0.6629392 0.6556377 0.5800722 0.7186246     bca
#> 20 1.9 0.6334774 0.6265866 0.5553688 0.6860452     bca
#> 21 2.0 0.6060957 0.5995949 0.5292364 0.6554126     bca
#> 22 2.1 0.5806057 0.5744741 0.5077286 0.6269813     bca
#> 23 2.2 0.5568392 0.5510560 0.4877722 0.6003758     bca
#> 24 2.3 0.5346455 0.5291904 0.4692167 0.5754564     bca
#> 25 2.4 0.5138895 0.5087429 0.4519292 0.5520950     bca
#> 26 2.5 0.4944499 0.4895931 0.4331293 0.5300549     bca
#> 27 2.6 0.4762176 0.4716328 0.4180445 0.5094842     bca
#> 28 2.7 0.4590941 0.4547646 0.4039318 0.4901472     bca
#> 29 2.8 0.4429909 0.4389010 0.3907042 0.4719537     bca
#> 30 2.9 0.4278278 0.4239626 0.3807189 0.4548847     bca
#> 31 3.0 0.4135320 0.4098779 0.3666029 0.4386727     bca
#> 
#> $Medium
#>      q  observed      mean     lower     upper ci.type
#> 1  0.0 3.0000000 2.5400000 2.0000000 3.0000000     bca
#> 2  0.1 2.5617123 2.2401074 1.8325227 2.6752711     bca
#> 3  0.2 2.2224763 1.9956664 1.6836801 2.3975306     bca
#> 4  0.3 1.9552854 1.7936491 1.5508949 2.1589514     bca
#> 5  0.4 1.7411443 1.6245227 1.4377309 1.9531274     bca
#> 6  0.5 1.5665950 1.4812411 1.3304837 1.7748006     bca
#> 7  0.6 1.4220235 1.3585393 1.2325827 1.6196421     bca
#> 8  0.7 1.3004971 1.2524382 1.1412996 1.4840769     bca
#> 9  0.8 1.1969637 1.1598946 1.0515162 1.3651434     bca
#> 10 0.9 1.1076994 1.0785527 0.9703525 1.2603803     bca
#> 11 1.0 1.0299241 1.0440692 0.8320861 1.1107907     bca
#> 12 1.1 0.9615347 0.9424719 0.8085189 1.0842292     bca
#> 13 1.2 0.9009177 0.8850940 0.7506204 1.0088952     bca
#> 14 1.3 0.8468176 0.8334796 0.7017865 0.9450793     bca
#> 15 1.4 0.7982434 0.7868465 0.6466350 0.8826944     bca
#> 16 1.5 0.7544018 0.7445472 0.6170383 0.8341183     bca
#> 17 1.6 0.7146493 0.7060404 0.5672005 0.7875012     bca
#> 18 1.7 0.6784574 0.6708698 0.5376721 0.7476748     bca
#> 19 1.8 0.6453869 0.6386478 0.5113399 0.7114463     bca
#> 20 1.9 0.6150691 0.6090432 0.4835255 0.6767292     bca
#> 21 2.0 0.5871914 0.5817708 0.4625137 0.6457645     bca
#> 22 2.1 0.5614865 0.5565842 0.4416753 0.6156612     bca
#> 23 2.2 0.5377246 0.5332688 0.4241536 0.5890170     bca
#> 24 2.3 0.5157061 0.5116373 0.4080696 0.5642418     bca
#> 25 2.4 0.4952573 0.4915256 0.3932545 0.5411582     bca
#> 26 2.5 0.4762260 0.4727891 0.3779878 0.5184913     bca
#> 27 2.6 0.4584783 0.4553000 0.3653023 0.4984566     bca
#> 28 2.7 0.4418959 0.4389452 0.3535162 0.4796836     bca
#> 29 2.8 0.4263738 0.4236242 0.3411460 0.4613468     bca
#> 30 2.9 0.4118190 0.4092474 0.3322797 0.4455108     bca
#> 31 3.0 0.3981481 0.3957347 0.3226762 0.4299320     bca
#> 
#> $Short
#>      q  observed      mean     lower     upper ci.type
#> 1  0.0 3.0000000 2.8500000 2.0000000 3.0000000     bca
#> 2  0.1 2.7003331 2.5444732 2.6516143 2.7477982     bca
#> 3  0.2 2.4405950 2.2846169 2.3620629 2.5216066     bca
#> 4  0.3 2.2146076 2.0623057 2.1190616 2.3184596     bca
#> 5  0.4 2.0172417 1.8710245 1.9089914 2.1357529     bca
#> 6  0.5 1.8442276 1.7055264 1.7248532 1.9711971     bca
#> 7  0.6 1.6920012 1.5615656 1.5657607 1.8227779     bca
#> 8  0.7 1.5575795 1.4356907 1.4198528 1.6887211     bca
#> 9  0.8 1.4384586 1.3250825 1.3306795 1.5674622     bca
#> 10 0.9 1.3325309 1.2274271 1.2276475 1.4576210     bca
#> 11 1.0 1.2380168 1.1408164 1.1357278 1.3579779     bca
#> 12 1.1 1.1534096 1.0636692 1.0540127 1.2674543     bca
#> 13 1.2 1.0774297 0.9946691 0.9787190 1.1850958     bca
#> 14 1.3 1.0089869 0.9327148 0.9028529 1.1100563     bca
#> 15 1.4 0.9471496 0.8768810 0.8503742 1.0415855     bca
#> 16 1.5 0.8911198 0.8263864 0.7944871 0.9790171     bca
#> 17 1.6 0.8402110 0.7805684 0.7541423 0.9217588     bca
#> 18 1.7 0.7938317 0.7388628 0.7161100 0.8692837     bca
#> 19 1.8 0.7514702 0.7007869 0.6832921 0.8211223     bca
#> 20 1.9 0.7126828 0.6659263 0.6514888 0.7768560     bca
#> 21 2.0 0.6770833 0.6339236 0.6215278 0.7361111     bca
#> 22 2.1 0.6443352 0.6044694 0.5772518 0.6985538     bca
#> 23 2.2 0.6141439 0.5772951 0.5512157 0.6638853     bca
#> 24 2.3 0.5862509 0.5521663 0.5168267 0.6318381     bca
#> 25 2.4 0.5604291 0.5288780 0.4958971 0.6021725     bca
#> 26 2.5 0.5364780 0.5072503 0.4763591 0.5746732     bca
#> 27 2.6 0.5142206 0.4871248 0.4576493 0.5491468     bca
#> 28 2.7 0.4934997 0.4683615 0.4354133 0.5254195     bca
#> 29 2.8 0.4741760 0.4508366 0.4203371 0.5033346     bca
#> 30 2.9 0.4561251 0.4344399 0.4067948 0.4827511     bca
#> 31 3.0 0.4392361 0.4190734 0.3938802 0.4635417     bca
#> 
#> attr(,"R")
#> [1] 100
#> attr(,"conf")
#> [1] 0.95
#> attr(,"parameter")
#> [1] "tsallis"
#> attr(,"ci.type")
#> [1] "bca"

tsallis_profile2_df <- dplyr::bind_rows(tsallis_profile2, .id = "group")

tsallis_points2_df <- tsallis_profile2_df %>%
  filter(q %in% important_q) %>%
  mutate(order_label = factor(q, levels = important_q,
                              labels = important_labels))

ggplot(tsallis_profile2_df, aes(x = q, y = observed,
                                color = group, fill = group)) +
  geom_ribbon(aes(ymin = lower, ymax = upper), alpha = 0.2, color = NA) +
  geom_line(linewidth = 1) +
  geom_vline(xintercept = c(0, 1, 2), linetype = "dashed",
             color = "grey60") +
  geom_point(data = tsallis_points2_df, aes(shape = order_label),
             size = 3, stroke = 1, inherit.aes = TRUE) +
  scale_shape_manual(values = c(17, 19, 15), name = "Important q")  +
  labs(x = "Order (q)", y = "Hill number",
       color = "Group", fill = "Group") +
  theme_bw()


ggplot(tsallis_profile2_df, aes(x = q, y = observed)) +
  geom_ribbon(aes(ymin = lower, ymax = upper), fill = "grey80") +
  geom_line(color = "black", linewidth = 1) +
  facet_wrap(~ group, scales = "free_y") +
  labs(x = "Order (q)", y = "Hill number") +
  theme_bw()