Skip to contents

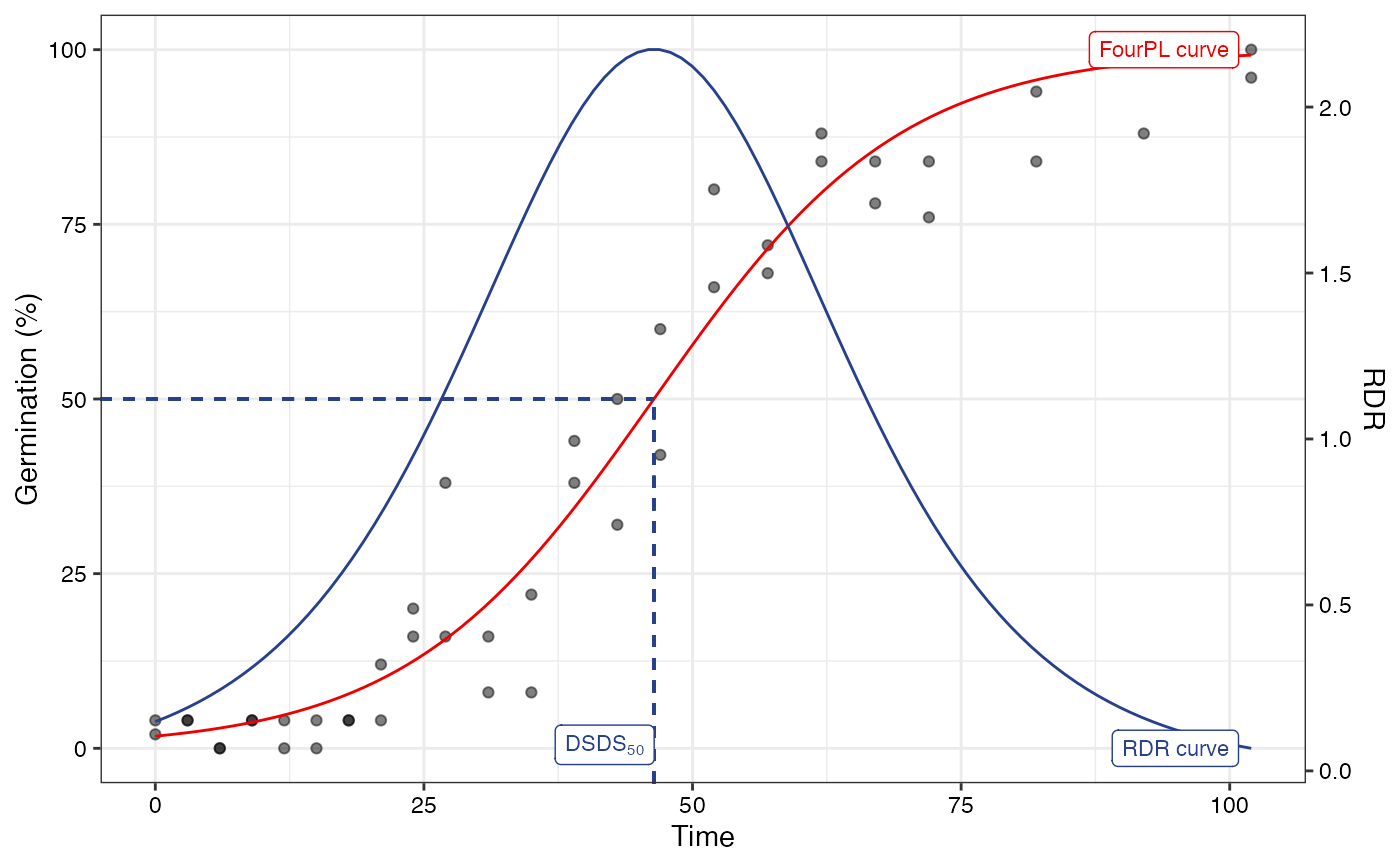
Plot the four-parameter logistic or log-logistic function fitted to germination count data from a FourPLfit object

Usage

# S3 method for class 'FourPLfit'
plot(
  x,
  rdr = TRUE,
  DSDS50 = TRUE,
  limits = TRUE,
  plotlabels = TRUE,
  x.axis.scale = c("linear", "log"),
  ...
)

Arguments

x

An object of class FourPLfit obtained as output from the FourPLfit function.

rdr

If TRUE, plots the Rate of Dormancy Release curve (RDR). Default is TRUE.

DSDS50

If TRUE, highlights the days of seed dry storage required to reach 50% germination. Default is TRUE.

limits

logical. If TRUE, set the limits of y axis (germination percentage) between 0 and 100 in the germination curve plot. If FALSE, limits are set according to the data. Default is TRUE.

plotlabels

logical. If TRUE, adds labels to the germination curve plot. Default is TRUE.

x.axis.scale

The x axis scale in log-logistic fits. Either "linear" or "log".

...

Default plot arguments.

Value

The plot of the dormancy release curve as an object of class ggplot.

See also

Examples

x <- c(2, 1, 2, 2, 0, 0, 2, 2, 0, 2, 2, 0, 2, 2, 2, 6, 8, 10, 8, 19,
       8, 4, 11, 4, 22, 19, 25, 16, 21, 30, 40, 33, 34, 36, 44, 42,
       42, 39, 42, 38, 47, 42, 50, 44, 48, 50)
y <- c(0, 0, 14, 14, 18, 18, 20, 20, 21, 21, 22, 22, 23, 23, 23, 23,
       24, 24, 24, 24, 25, 25, 25, 25, 25, 25, 25, 25, 26, 26, 26, 26,
       26, 26, 26, 26, 27, 27, 27, 27, 27, 27, 27, 27, 27, 27)
rep <- rep(1:2, 23)
int <- rep(c(0, 3, 6, 9, 12, 15, 18, 21, 24, 27, 31, 35, 39, 43, 47, 52,
             57, 62, 67, 72, 82, 92, 102), each = 2)
total.seeds = 50

# Logistic fit
#~~~~~~~~~~~~~~~~~~~~~~~~~~~~~~~~~~~~~~~~~~~~~~~~~~~~~~~~~~~~~~~~~~~~~~~~~~~~
fitL1 <- FourPLfit(germ.counts = x, intervals = int, rep = rep,
                   total.seeds = 50, fix.y0 = TRUE, fix.a = TRUE,
                   inflection.point = "explicit", time.scale = "linear")
#> Warning: 'intervals' are not uniform.

fitL2 <- FourPLfit(germ.counts = x, intervals = int, rep = rep,
                   total.seeds = 50, fix.y0 = TRUE, fix.a = TRUE,
                   inflection.point = "implicit", time.scale = "linear")
#> Warning: 'intervals' are not uniform.

plot(fitL1)

plot(fitL2)


# Log-logistic fit
#~~~~~~~~~~~~~~~~~~~~~~~~~~~~~~~~~~~~~~~~~~~~~~~~~~~~~~~~~~~~~~~~~~~~~~~~~~~~
fitLL1 <- FourPLfit(germ.counts = y, intervals = int, rep = rep,
                    total.seeds = 50, fix.y0 = TRUE, fix.a = TRUE,
                    inflection.point = "explicit", time.scale = "log")
#> Warning: 'intervals' are not uniform.

fitLL2 <- FourPLfit(germ.counts = y, intervals = int, rep = rep,
                    total.seeds = 50, fix.y0 = TRUE, fix.a = TRUE,
                    inflection.point = "implicit", time.scale = "log")
#> Warning: 'intervals' are not uniform.

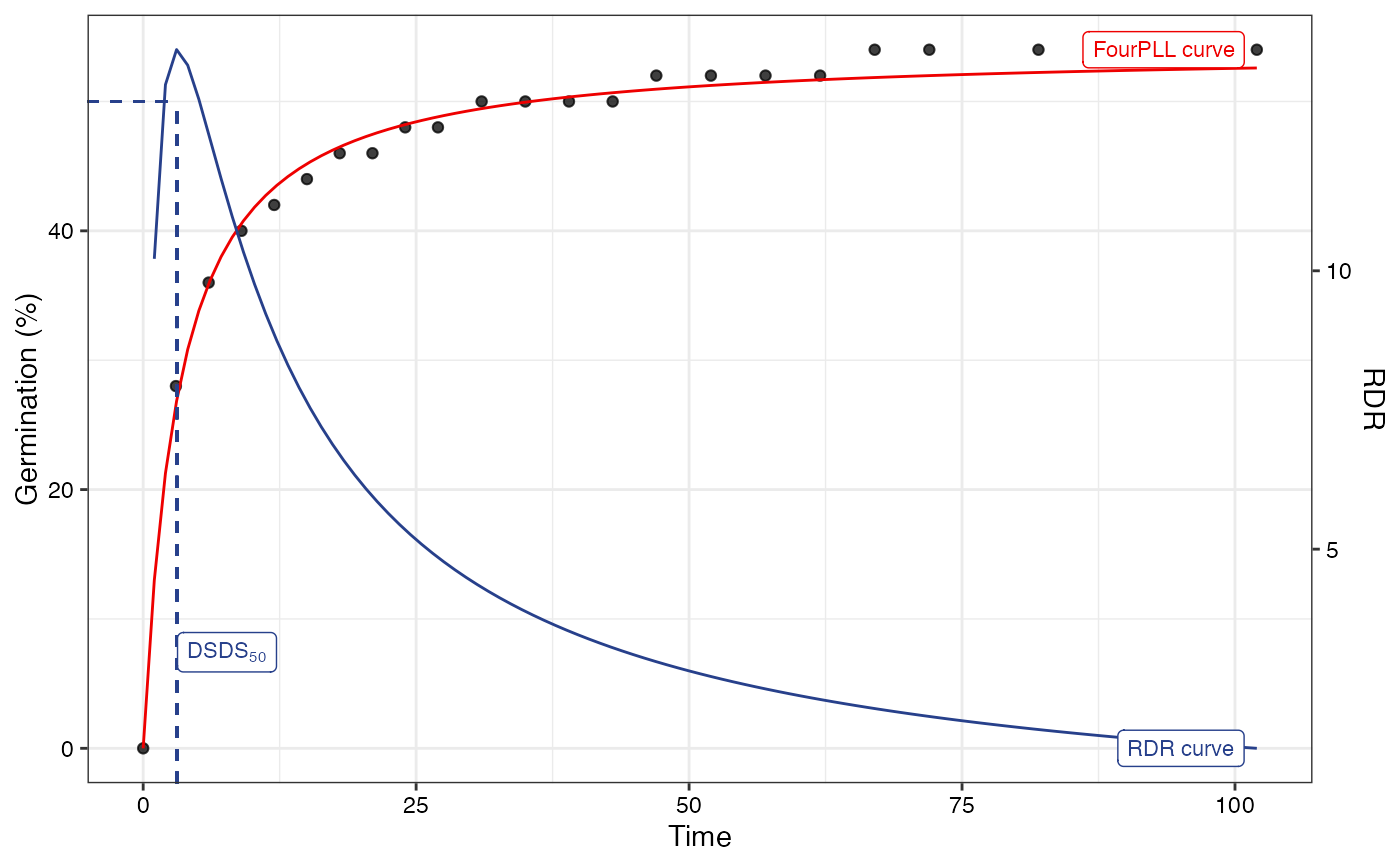
plot(fitLL1)
#> Warning: Removed 1 row containing missing values or values outside the scale range
#> (`geom_function()`).

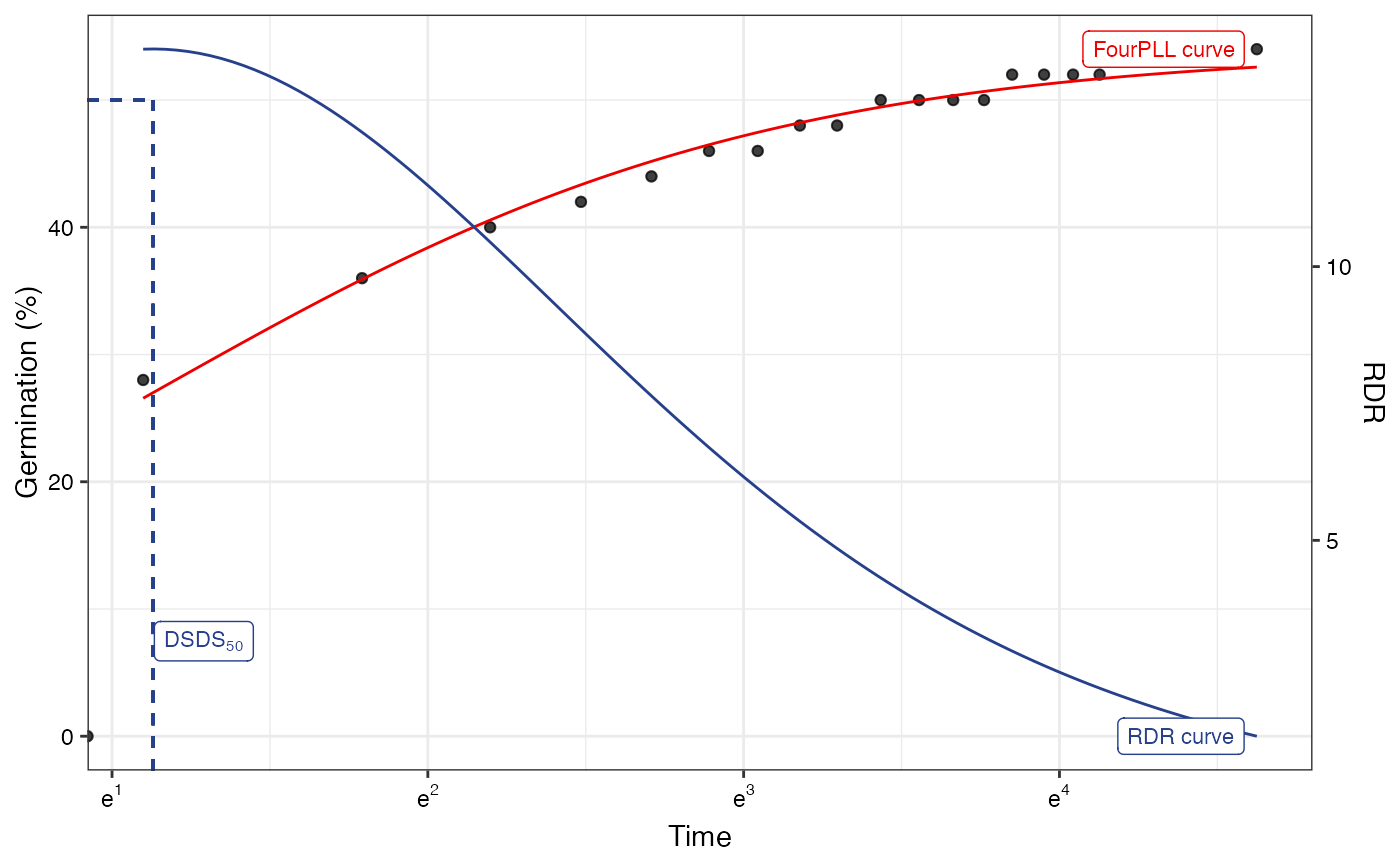
plot(fitLL1, x.axis.scale = "log")
#> Warning: log-2.718282 transformation introduced infinite values.
#> Warning: log-2.718282 transformation introduced infinite values.
#> Warning: log-2.718282 transformation introduced infinite values.

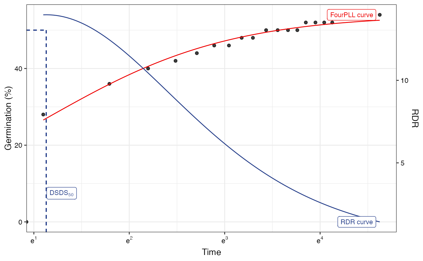
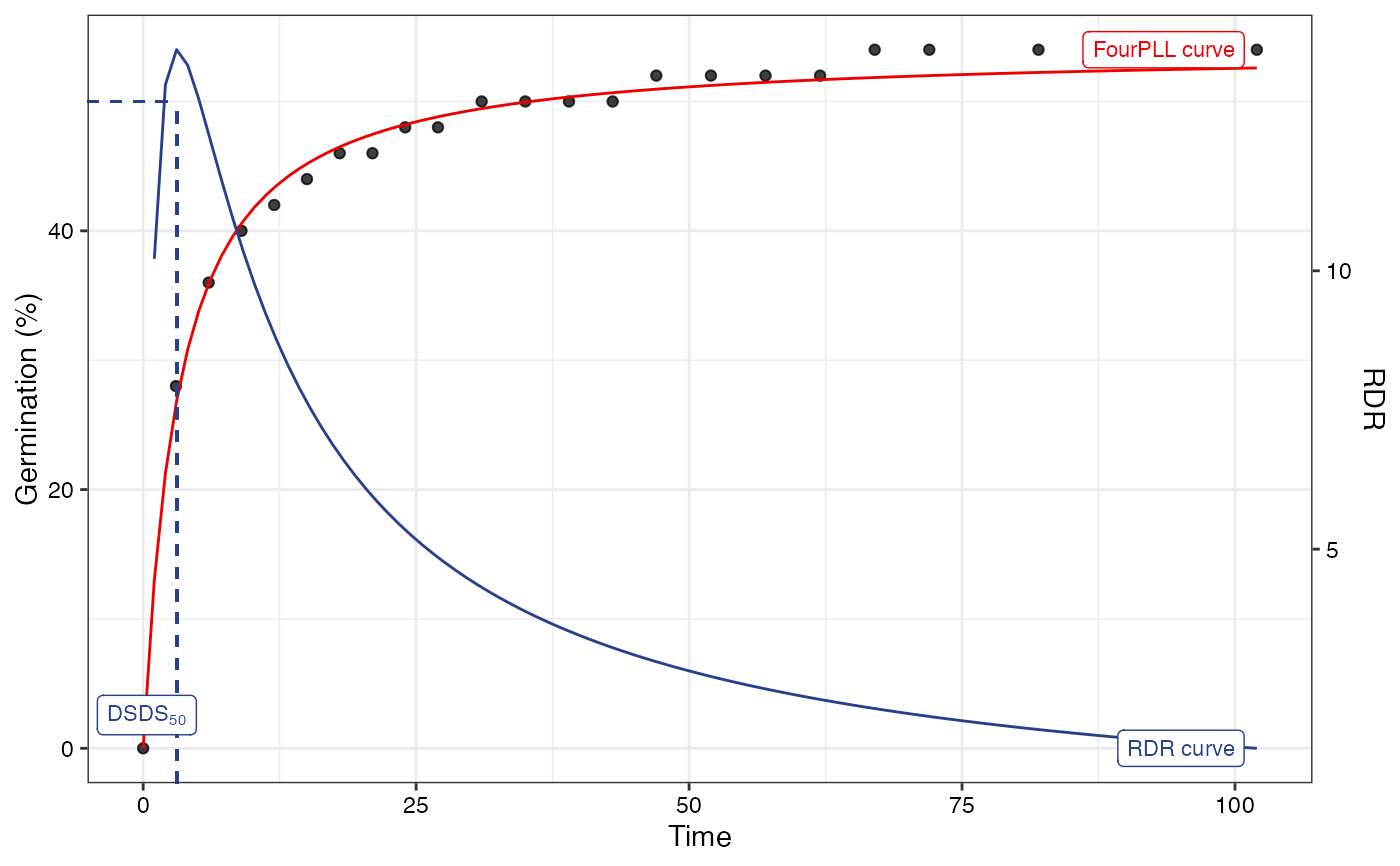
plot(fitLL2)
#> Warning: Removed 1 row containing missing values or values outside the scale range
#> (`geom_function()`).

plot(fitLL2, x.axis.scale = "log")
#> Warning: log-2.718282 transformation introduced infinite values.
#> Warning: log-2.718282 transformation introduced infinite values.
#> Warning: log-2.718282 transformation introduced infinite values.